Análise de Dados e Visualização
Alunos:
Arthur Nichele, José Henrique, Tiago e Vitor Hugo
1. Gráficos Fundamentais
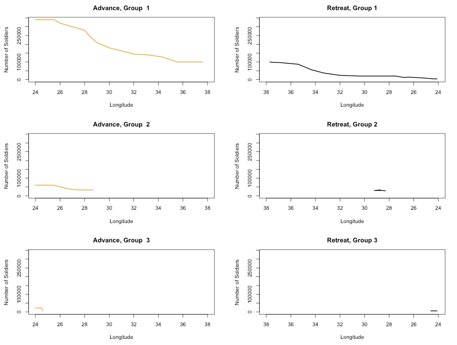
2. Mapa de Charles Minard 1869:
×
Zoom no Mouse | Segure e Arraste para navegar